Ответы
Ответ дал:
1
Ответ:
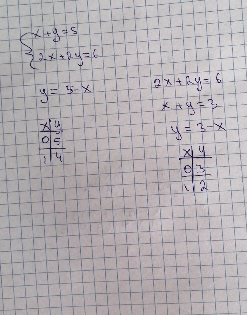
Выражаем у через х и подставим вместо х числа, таким образом находим у
Объяснение:
Надеюсь график сама/сам сможешь
Приложения:

eykovlevjr:
спасибо
Вас заинтересует
1 год назад
1 год назад
1 год назад
1 год назад
3 года назад
3 года назад
8 лет назад