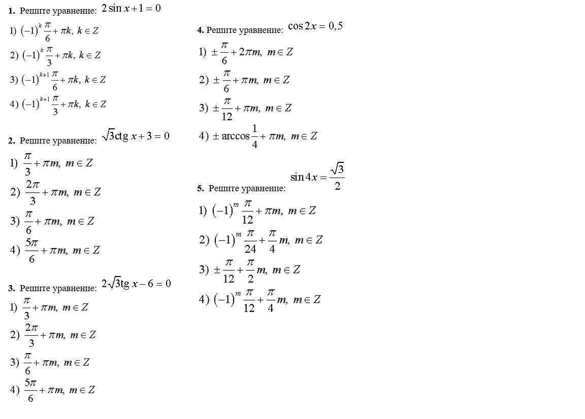
пожалуйста помогите с алгеброй, тригонометрическими уравнениями!! в 5 номере нет правильного варианта ответа, нужно записать свой. очень срочно!!!!
Приложения:

Ответа на этот вопрос пока нет. Попробуйте найти его через форму поиска.
Вас заинтересует
2 года назад
2 года назад
3 года назад
3 года назад
8 лет назад
9 лет назад
9 лет назад