• Предмет: Математика
  • Автор: anna4384
  • Вопрос задан 2 года назад

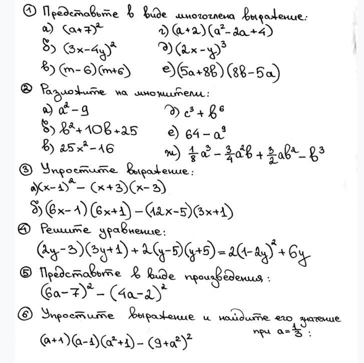
Помогите, пожалуйста )
Алгебра 7 класс

Приложения:

Ответы

Ответ дал: danadospanova6
0

Ответ:

a)a²+14a+49 б)9x-24xy+16y²

в) m²-36 г)a³+8

д)8x³-6x²y+6xy²-y³ e)64b²-25a²

Вас заинтересует