• Предмет: Химия
  • Автор: jennie22090j
  • Вопрос задан 8 лет назад

Помогите пожалуйста срочно!!

Приложения:

Ответы

Ответ дал: daryazaxarova04
0

..............................

Приложения:
Ответ дал: TheVoLT
0

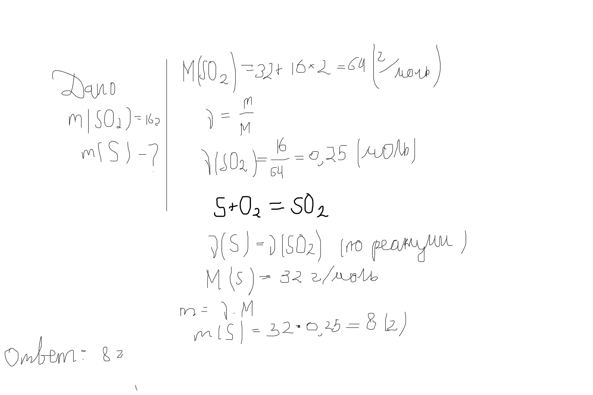
Ответ:

Решение на фото

Объяснение:

Приложения:
Вас заинтересует