• Предмет: Алгебра
  • Автор: Аноним
  • Вопрос задан 2 года назад

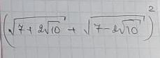
Вычислить значение выражения

Приложения:

Ответы

Ответ дал: DevilingKeks
0

Ответ: 20

Объяснение:

(\sqrt{7} +2\sqrt{10}+\sqrt{7} -2\sqrt{10})^{2} \\(\sqrt{(\sqrt{2}+\sqrt{5}  )^{2} } +\sqrt{(\sqrt{2}-\sqrt{5}  )^{2} })^{2} \\(\sqrt{2} +\sqrt{5}+\sqrt{5}-\sqrt{2}   )^{2} \\(2\sqrt{5} )^{2} \\4*5=20

Вас заинтересует