Ответы
Ответ дал:
0
23223
- 8354
________
14869
- 8653
________
6216/84=????(там дальше сам(а))
- 8354
________
14869
- 8653
________
6216/84=????(там дальше сам(а))
Ответ дал:
0
....=74
Ответ дал:
0
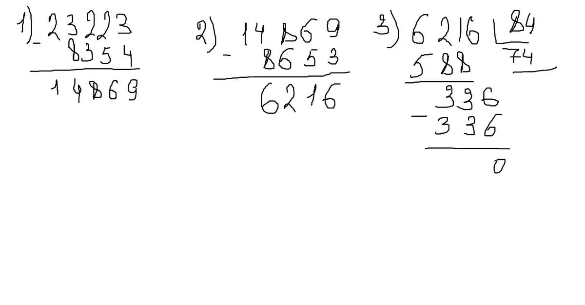
1) 23223-8354=14869
2) 14869-8653=6216
3) 621684=74
2) 14869-8653=6216
3) 621684=74
Приложения:

Вас заинтересует
2 года назад
2 года назад
8 лет назад
8 лет назад
10 лет назад
10 лет назад