• Предмет: Алгебра
  • Автор: ata221
  • Вопрос задан 2 года назад

Помогите, пожалуйста!
Разложите на множители:
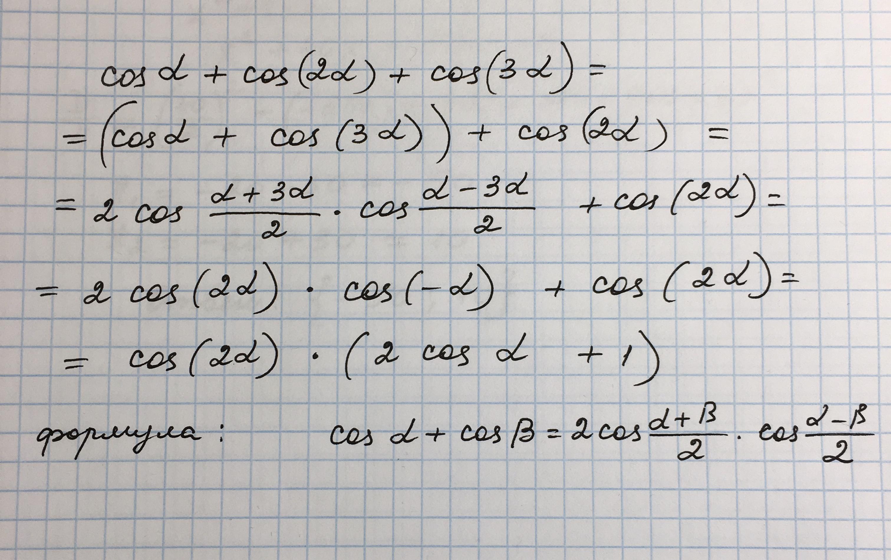
 \cos( \alpha )  +  \cos(2 \alpha )  +  \cos(3 \alpha )

Ответы

Ответ дал: ВладимирБ
1

Ответ:

Объяснение:

.......................,

Приложения:

marmelad200308: https://znanija.com/task/35334482 ПОМОГИТЕ ПОЖАЛУЙСТА
ata221: Здравствуйте! Можете, пожалуйста, помочь с последним вопросом у меня в профиле. Очень-очень нужно!
Вас заинтересует