• Предмет: Алгебра
  • Автор: sevamamedov200oyp1jv
  • Вопрос задан 8 лет назад

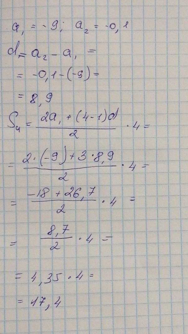
Вычисли следующие два члена арифметической прогрессии и сумму первых четырёх членов, если a1=−9 и a2=−0,1.
Помогите!!!!!!!!!!!!!!!!!

Ответы

Ответ дал: Nastia05013
0

Ответ:

Лпвшнве7е85гегмодпщпднард

Приложения:
Вас заинтересует