• Предмет: Алгебра
  • Автор: Аноним
  • Вопрос задан 2 года назад

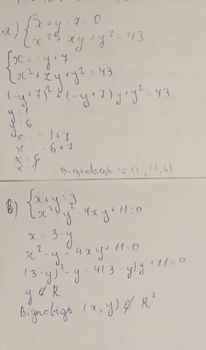
Алгебра, выручайте
С решением, желательно подробно ​

Приложения:

Ответы

Ответ дал: sasha1500704
0

Надіюся допомогла

( треба 20 символів)

Приложения:

Аноним: спасибо большое, слава Украине,кхм извините
Вас заинтересует