• Предмет: Алгебра
  • Автор: Raf130
  • Вопрос задан 8 лет назад

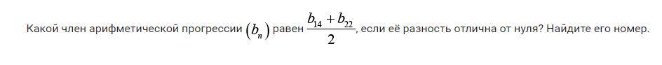
Помогите пожалуйста! Прогрессия в скриншоте!

Приложения:

Ответа на этот вопрос пока нет. Попробуйте найти его через форму поиска.

Вас заинтересует