• Предмет: Математика
  • Автор: anntaylor02
  • Вопрос задан 8 лет назад

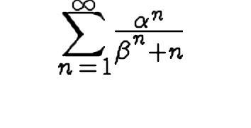
СРОЧНО помогите, пожалуйста, исследовать сходимость ряда, если бета больше или равна 0

Приложения:

Ответа на этот вопрос пока нет. Попробуйте найти его через форму поиска.

Вас заинтересует