• Предмет: Химия
  • Автор: 1HELP1PLEASE1
  • Вопрос задан 2 года назад

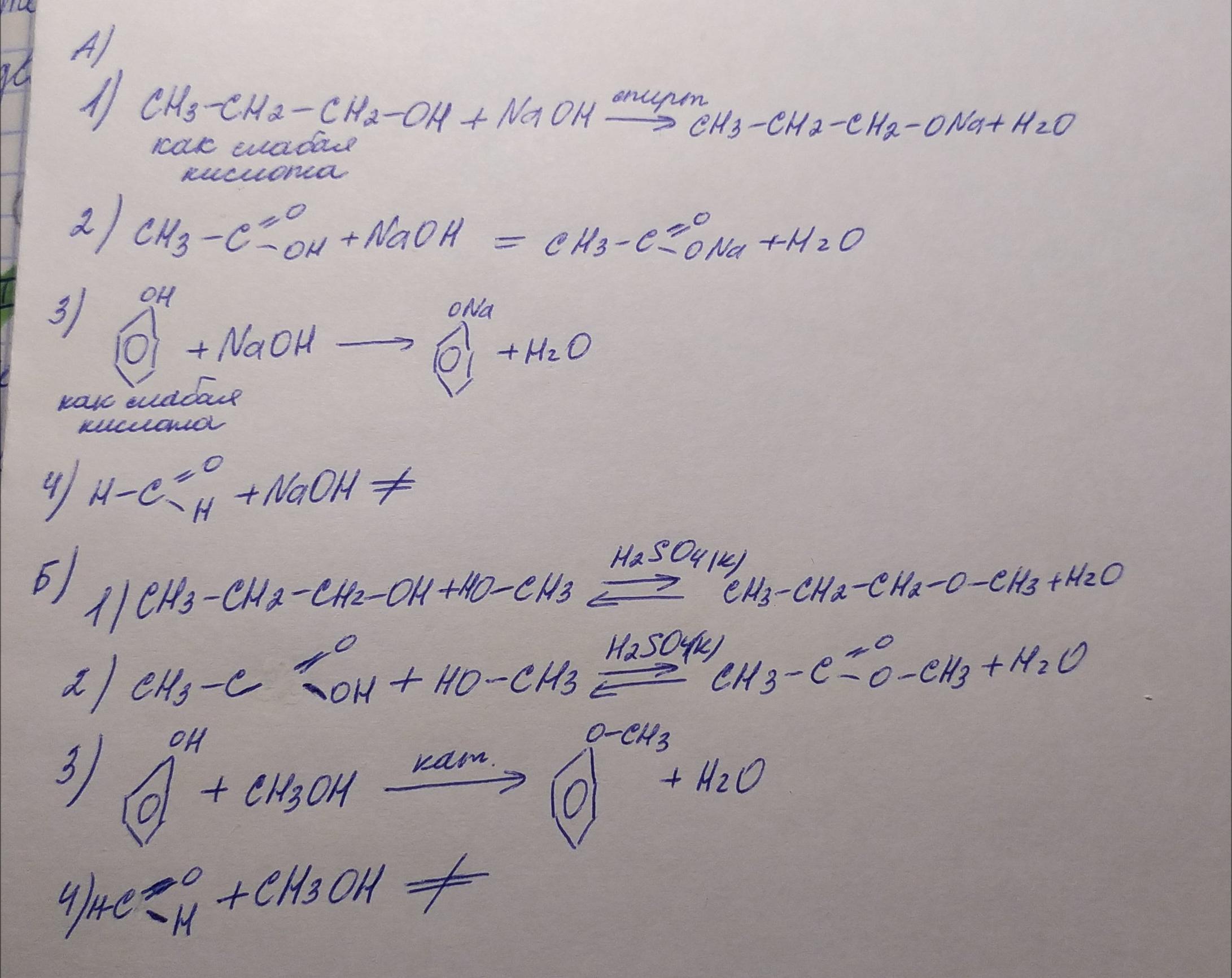
Какие из перечисленных ниже веществ могут вступать в реакцию:
1)пропанол-1, 2)этановая кислота, 3)фенол, метаналь
а) с гидроксидом натрия; б) с метиловым спиртом?
Составьте уравнения возможных реакций.

Ответы

Ответ дал: holmskaja
1

в вложении

_________________

Приложения:

HimiyaHelper12: можешь еще помочь с моим? ПОжалуйста
Вас заинтересует