• Предмет: Математика
  • Автор: nina2006juli
  • Вопрос задан 2 года назад

решить задания подробно

Приложения:

Ответы

Ответ дал: nastkilin
2
задачу решать не стала✌
Приложения:
Ответ дал: tina200317
1

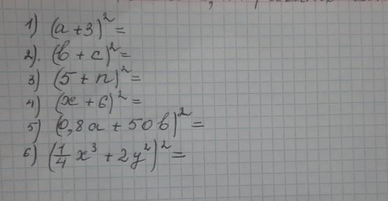
1)

(a + 3) ^{2}  \\ (a + b )^{2}  = a ^{2}  + 2ab +  {b}^{2}  \\  {a}^{2}  + 2a \times 3 +  {3}^{2}  \\  {a}^{2}  + 6a +  {3}^{2}  \\  {a}^{2}  + 6a + 9

2)

(b + c) ^{2}  =  {b}^{2}  + 2bc +  {c}^{2}

3)

(5 + n) ^{2}  = 25 + 10n +  {n}^{2}  \\  {n}^{2}  + 10n + 25

4)

(x + 6) ^{2}  =  {x}^{2}  + 2x \times 6 +  {6}^{2}  \\  {x}^{2}  + 12x +  {6}^{2}  \\  {x}^{2}  + 12x + 36

5)

(0.8a + 50b) ^{2}  = ( \frac{4}{5} a + 50b) ^{2}  \\  \frac{16}{25}  {a}^{2}  + 80ab + 2500 {b}^{2}

6)

( \frac{1}{4}  {x}^{3} ) ^{2}  + 2  \times  \frac{1}{4} x ^{3}  \times 2 {y}^{2}  + (2 {y}^{2} ) ^{2}  \\  \frac{1}{16}  {x}^{6}  + 2 \times  \frac{1}{4}  {x}^{3}  \times 2 {y}^{2}  + (2 {y}^{2} ) ^{2}  \\  \frac{1}{16}  {x}^{6}  +  {x}^{3}  {y}^{2}  + 4 {y}^{4}

Приложения:
Вас заинтересует