• Предмет: Алгебра
  • Автор: alinarrrrrrr999
  • Вопрос задан 8 лет назад

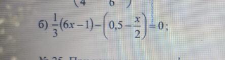
решите пожалуйста!!!!!!!!!!

Приложения:

Ответы

Ответ дал: vikkicarter200117
0

Ответ:

2х-1/3-(1/2-х/2)=0

2х-1/3-1/2+х/2=0

2х-5+3х=0

15х-5=0

15х=5

х=1/3

Вас заинтересует