• Предмет: Математика
  • Автор: seledkaaa86
  • Вопрос задан 8 лет назад

помогите пожалуйста найти производную,очень нужно((

Приложения:

Ответы

Ответ дал: Amaimoon
0

Ответ:

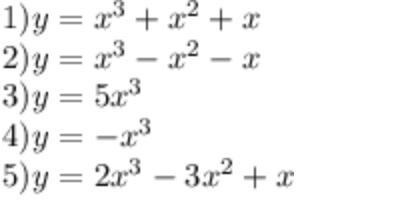
1)y'=3x^{2}+2x+1; 2)y'=3x^{2}-2x-1; 3)y'=15x^{2}; 4)y'=-3x^{2};\ 5) y'=6x^{2}-6x+1

Пошаговое объяснение:

1)y=x^{3}+x^{2}+x\y'=3x^{2}+2x+1\\2)y=x^{3}-x^{2}-x\y'=3x^{2}-2x-1\\3)y=5x^{3}\y'=15x^{2}\\4)y=-x^{3}\y'=-3x^{2}\\5)y=2x^{3}-3x^{2}+x\y'=6x^{2}-6x+1

Вас заинтересует