• Предмет: Алгебра
  • Автор: nkazancsev81
  • Вопрос задан 2 года назад

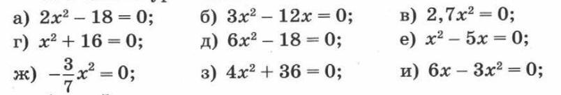
Помогите пожалуйста нужно срочно

Приложения:

kaccher: Отметьте ответ как лучший, пожалуйста

Ответы

Ответ дал: kaccher
1
Подробный ответ прикреплён в фотографии.
Приложения:
Ответ дал: sasha1500704
0

( мінімум 20 символів)

Приложения:
Вас заинтересует