• Предмет: Математика
  • Автор: sk2303
  • Вопрос задан 11 лет назад

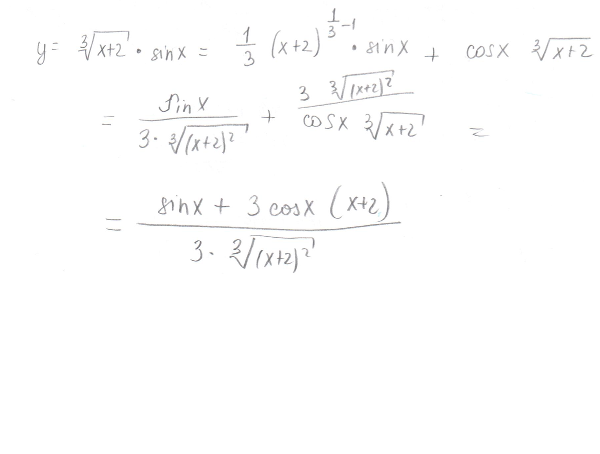
помогите Найти производную функции 

y=(sgrtn(x,3) +2)*sinx

 или на русском языке

Y=(корень третьей степени из х+2)*sin x 

Ответы

Ответ дал: guljapirakcool14
0

f(x) = U*sinx

f'(x) = U'*sinx + sin'x*U

В общем решение на картинке 

Приложения:
Вас заинтересует