• Предмет: Математика
  • Автор: danil1946
  • Вопрос задан 2 года назад

пожалуйста пошагово без лишних слов очень важно много баллов

Приложения:

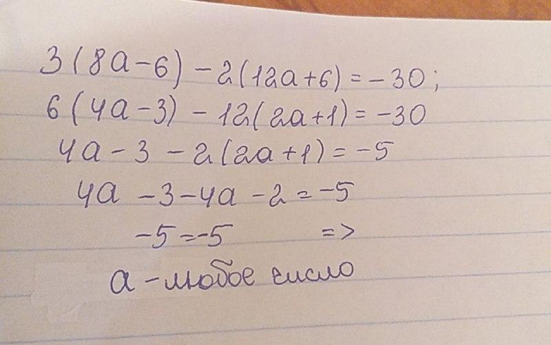
m11m: Ответ: а - любое число.

Ответы

Ответ дал: DarkCatsSmile
0

Відповідь:

a - любое число

Покрокове пояснення:

Приложения:
Ответ дал: shekastoegovno
0

Ответ:

96а-72-96а-48=-120

-120=120

Пошаговое объяснение:

1.раскрываем скобки

2. приводим подобные слагаемые

3.тождество доказано

Вас заинтересует