• Предмет: Математика
  • Автор: адаоь
  • Вопрос задан 8 лет назад

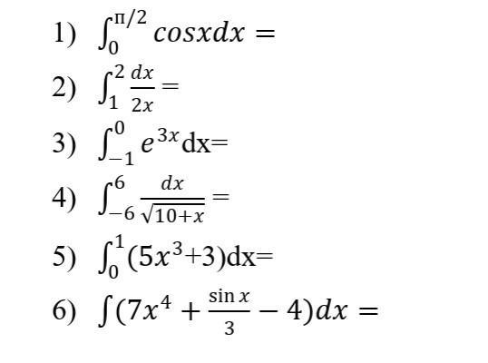
Задания: Вычислить интегралы
Спасибо заранее.





Приложения:

Ответа на этот вопрос пока нет. Попробуйте найти его через форму поиска.

Вас заинтересует