помогите пожалуйста, физика 10 класс
1.Как изменится электроемкость конденсатора, если заряд на его обкладках увеличить в 2 раза?
А)увеличится в 2 раза Б)уменьшится в 2 раза В)не изменится Г)увеличится в 4 раза
2.Как изменится электроемкость конденсатора, если напряжение увеличить в 2 раза?
А)увеличится в 2 раза Б)уменьшится в 2 раза В)не изменится Г)увеличится в 4 раза
3.Как изменится электроемкость конденсатора, если расстояние между его пластинами увеличить в 2 раза?
А)увеличится в 2 раза Б)уменьшится в 2 раза В)не изменится Г)увеличится в 4 раза
4.Как изменится электроемкость конденсатора, если площадь его обкладок увеличить в 2 раза?
А)увеличится в 2 раза Б)уменьшится в 2 раза В)не изменится Г)увеличится в 4 раза
5.Как изменится электроемкость конденсатора, если парафиновый диэлектрик (ε = 2) заменить слюдой (β = 6)?
А)увеличится в 3 раза Б)уменьшится в 3 раза В)уменьшится в 6 раз Г)увеличится в 6 раза
6.Как изменится энергия конденсатора , если напряжение на нем увеличить в 2 раза?
А)увеличится в 2 раза Б)уменьшится в 2 раза В)не изменится Г)увеличится в 4 раза
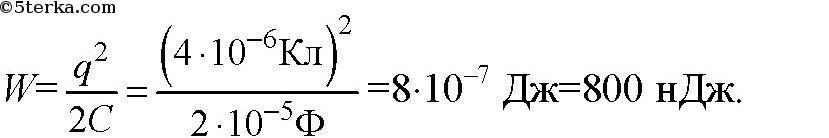
7.Конденсатору емкостью 10 мкФ сообщили заряд 4 мкКл. Какова энергия заряженного конденсатора?
8.На конденсаторе написано: 100 пФ, 300 В. Можно ли использовать этот конденсатор для накопления заряда 50 нКл?
Ответы
Ответ дал:
0
Ответ: 1)в 2)в 3)б 4)а 5)г 6)а
7.W = 800 нДж.
https://ru-static.z-dn.net/files/d4e/72146e22cc133ec24629e58a84af520c.jpg
https://ru-static.z-dn.net/files/d24/1f924132e1b064ce21737663ecaa9d79.jpg
8) нельзя
https://ru-static.z-dn.net/files/de7/128e5a523735d711ef77ffc238a76db4.jpghttps://ru-static.z-dn.net/files/d27/2dd2a13011d8f71d9328f0531130db54.jpg
Объяснение: вот так
Приложения:




Ответ дал:
0
))))
Вас заинтересует
2 года назад
2 года назад
3 года назад
3 года назад
8 лет назад
8 лет назад