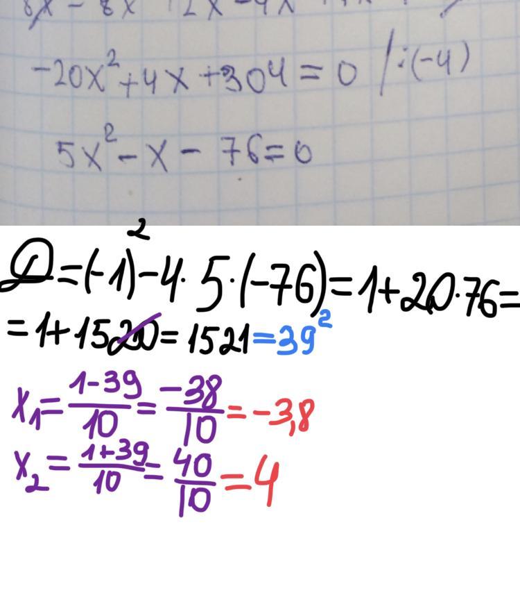
Проверьте пожалуйста, правильно ли я решел уравнение? Если нет, то исправьте пожалуйста. Дам 60 баллов.
Приложения:

NNNLLL54:
дискриминант неверно найден
Ответы
Ответ дал:
1
Ответ дал:
1
Я прорешала его,сначала все сошлось, а вот начинаю с дискриминанта нет
У меня получилось вот так......
Приложения:

Вас заинтересует
1 год назад
1 год назад
1 год назад
3 года назад
3 года назад
8 лет назад
8 лет назад