Ответы
Ответ дал:
0
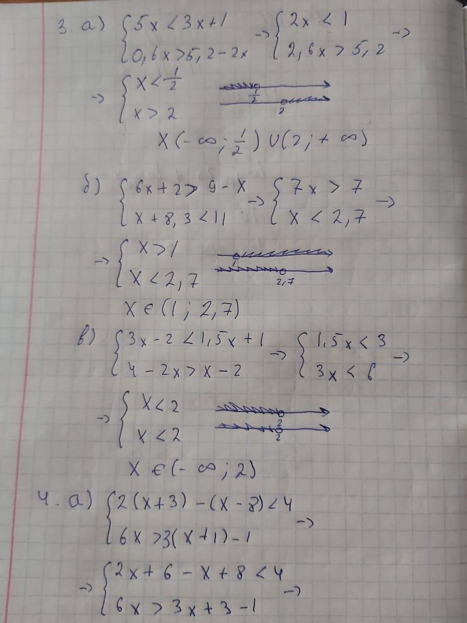
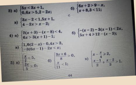
Ответ:
Объяснение:
Все написано в фото, для объяснение уйдет много времени
Приложения:



Вас заинтересует
2 года назад
2 года назад
3 года назад
3 года назад
8 лет назад
9 лет назад