• Предмет: Математика
  • Автор: nikita4012
  • Вопрос задан 2 года назад

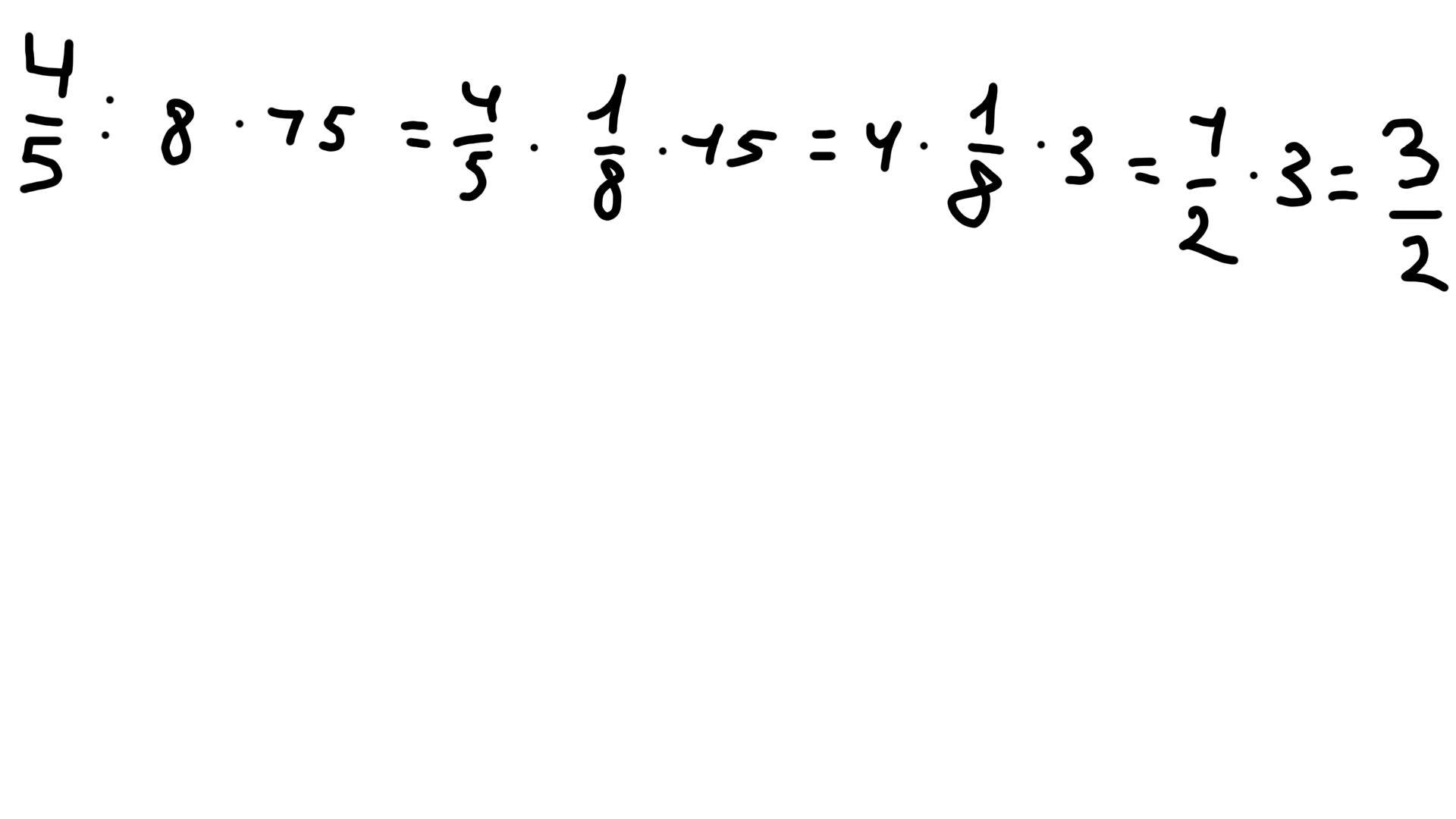
Четыре пятых разделить на восемь и умножить на пятнадцать​

Ответы

Ответ дал: darynapiavka2005
1

Ответ:

Пошаговое объяснение:

Приложения:
Ответ дал: doctorfaith75
0

Извиняюсь что немного криво. Если появятся затруднения то пишите

Приложения:
Вас заинтересует