• Предмет: Алгебра
  • Автор: miha351
  • Вопрос задан 8 лет назад

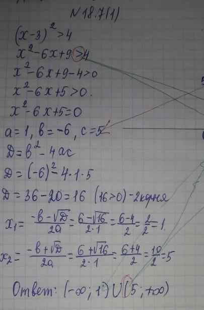
(2x - 3)2 > 25;

памагите решить через дискреминант как сверху показана ​

Приложения:

Ответа на этот вопрос пока нет. Попробуйте найти его через форму поиска.

Вас заинтересует