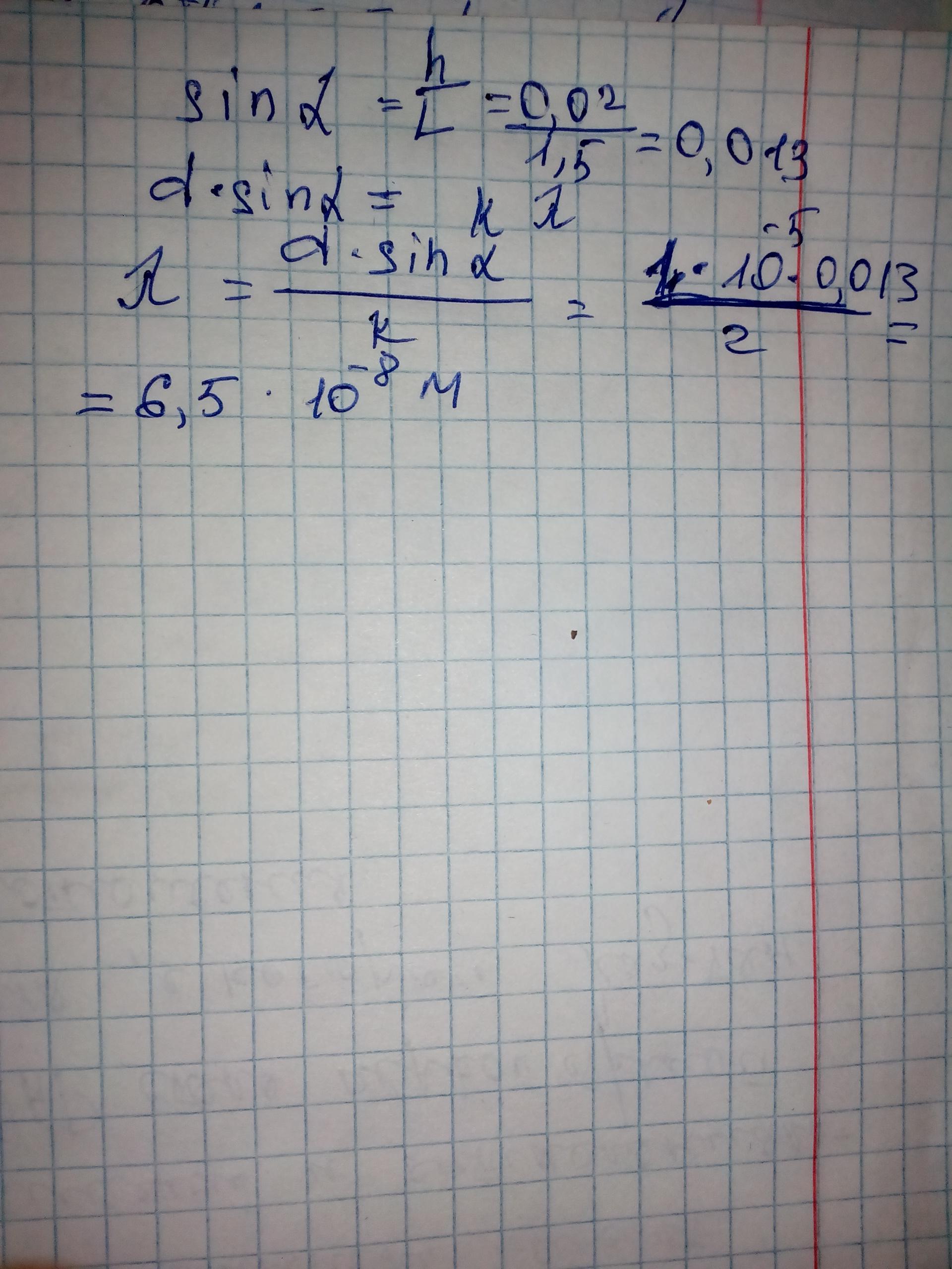
рассчитать длину волны излучаемого света, если расстояние между полосами второго порядка 2 см, расстояние от решетки до экрана 1,5 м. Угол, под которым падают лучи максимальный (180⁰). Период дифракционной решетки 1∙10^-5 м
Запишите Дано и Решение Пожалуйста
Ответы
Ответ дал:
0
Ответ:Дано:
K=2
h=2cм=0,002м
L=1,5м
Альфа=180°
d=1*10 -5cтепени
Объяснение:
Приложения:

Вас заинтересует
2 года назад
3 года назад
3 года назад
8 лет назад
8 лет назад
9 лет назад