• Предмет: Алгебра
  • Автор: denisthcbk
  • Вопрос задан 2 года назад

решите пж очень срочно

Приложения:

Ответы

Ответ дал: Universalka
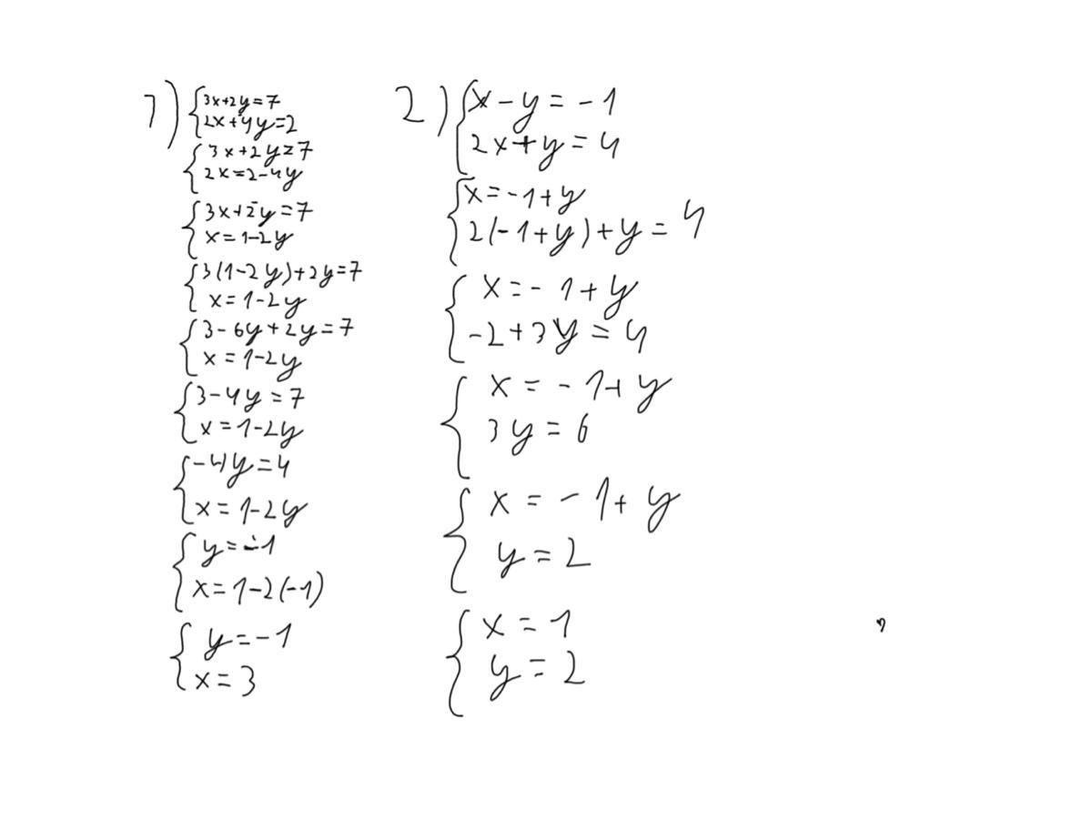
1

1)\left \{ {{3x+2y=7} \atop {2x+4y=2}} \right. \\\\\left \{ {{3x+2y=7} \atop {x+2y=1}|*(-1)} \right.\\\\\left \{ {{3x+2y=7} \atop {-x-2y=-1}} \right.\\ ------\\2x=6\\\\x=3\\\\2y=1-x=1-3=-2\\\\y=-1\\\\Otvet:\boxed{(3;-1)}

2)+\left \{ {{x-y=-1} \atop {2x+y=4}} \right.\\ -------\\3x=3\\\\x=1\\\\y=x+1=1+1=2\\\\Otvet:\boxed{(1;2)}


LuciferMotningstar: как текст в рамку засовывать?
Ответ дал: mikolaenkoegor
0
Решение расписал на картинке. Надеюсь помог...
Приложения:
Вас заинтересует