• Предмет: Алгебра
  • Автор: devishkaskare
  • Вопрос задан 2 года назад

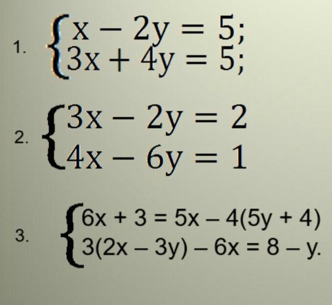
Помогииитее пожалуйста!!!!!!!!!!!!!!!SOS SOS SOS SOS SOS!!!!!!Розв’язування системи лінійних рівнянь з двома змінними
способом підстановки.Задание в фото​

Приложения:

Ответы

Ответ дал: lil4kill
2

Ответ: 1 и 2

Объяснение:

Я не бяка кидаю решение не как некоторые ( ну как бы мне просто балы нужны ) Даша.-.

Приложения:

Аноним: кросс)))
Вас заинтересует