10
ДОМАШНЕЕ ЗАДАНИЕ
Упрости выражения.
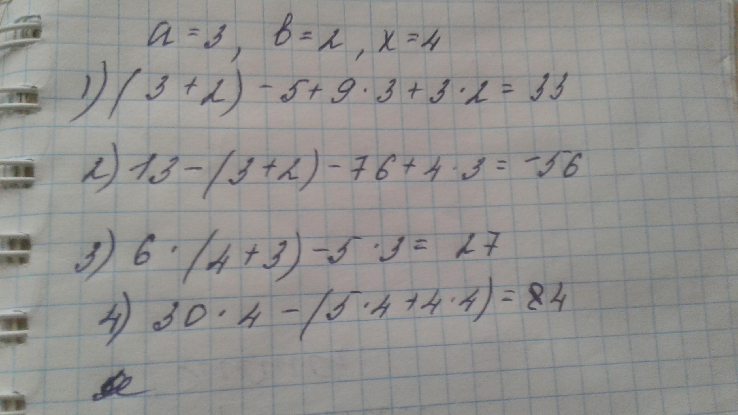
Найди значения при а = 3, b = 2, х = 4.
(a + b) - 5+ 9а + 3b
13 - (a + b) — 76 + 4а
6. (х + а) – 5а
30х — (5х + 4х)
я даю все баллы
Ответы
Ответ дал:
0
Ответ:
...............
Пошаговое объяснение:
Приложения:

Ответ дал:
0
а кто будет упрощять
Ответ дал:
0
Ответ:
(3+2)-5+27+6=33
13-5-76+12=-56
6*7-15=27
120-36=84
Приложения:

Вас заинтересует
2 года назад
3 года назад
3 года назад
8 лет назад
8 лет назад
9 лет назад
9 лет назад