• Предмет: Алгебра
  • Автор: Аноним
  • Вопрос задан 8 лет назад

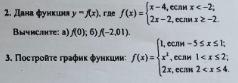
помогите дам 15 баллов умоляю я не могу решить

Приложения:

Ответы

Ответ дал: iElite
0

Ответ: Привет! Первый - есть!

Объяснение:

Приложения:
Ответ дал: iElite
0
не могу решить что-то
Вас заинтересует