• Предмет: Математика
  • Автор: disadisadisaa2
  • Вопрос задан 2 года назад

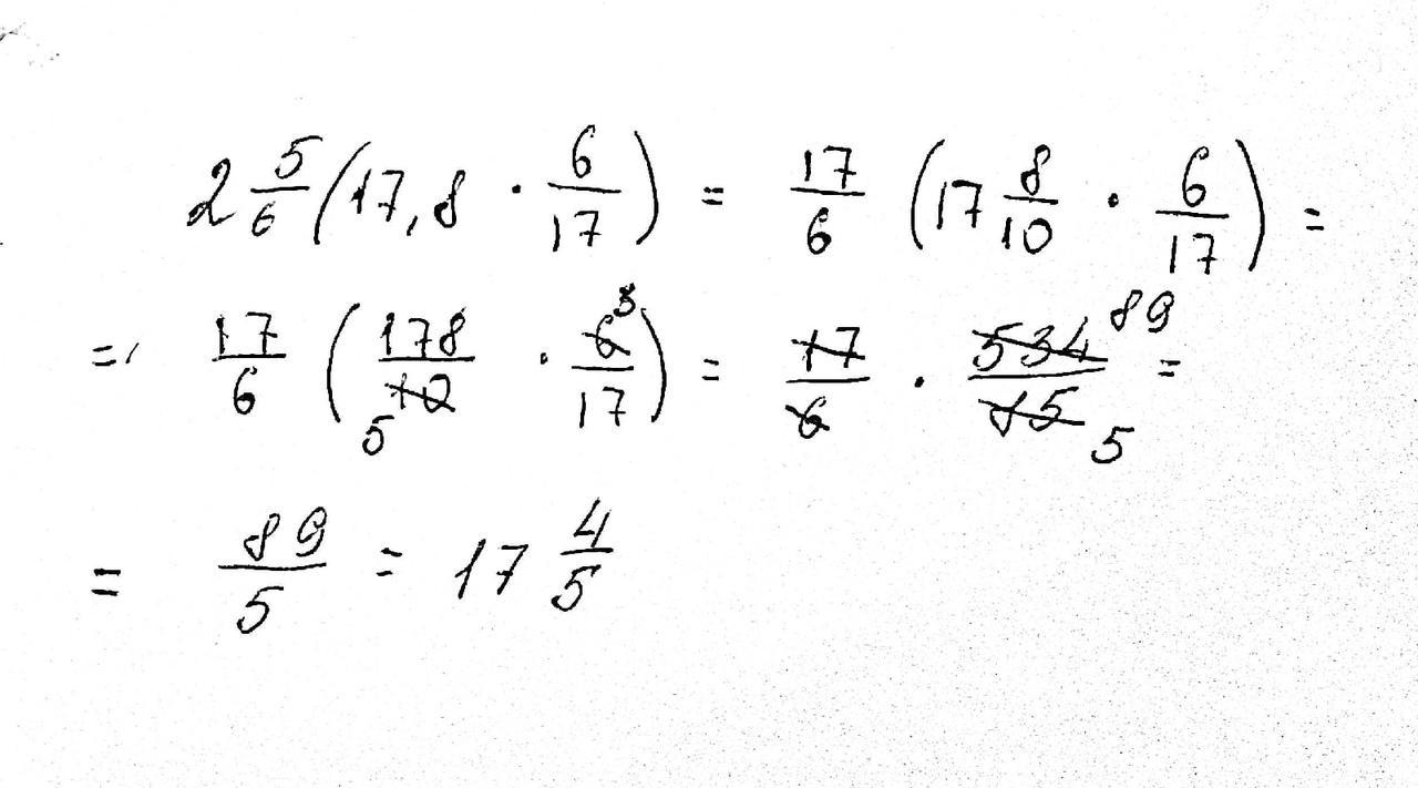
помогите прикрепил картинку

Приложения:

Ответы

Ответ дал: ChanaLiba
0

Ответ:

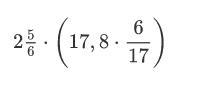
я прикрепила фото с решением

Пошаговое объяснение

Приложения:
Вас заинтересует