Ответы
Ответ дал:
0
Ответ:
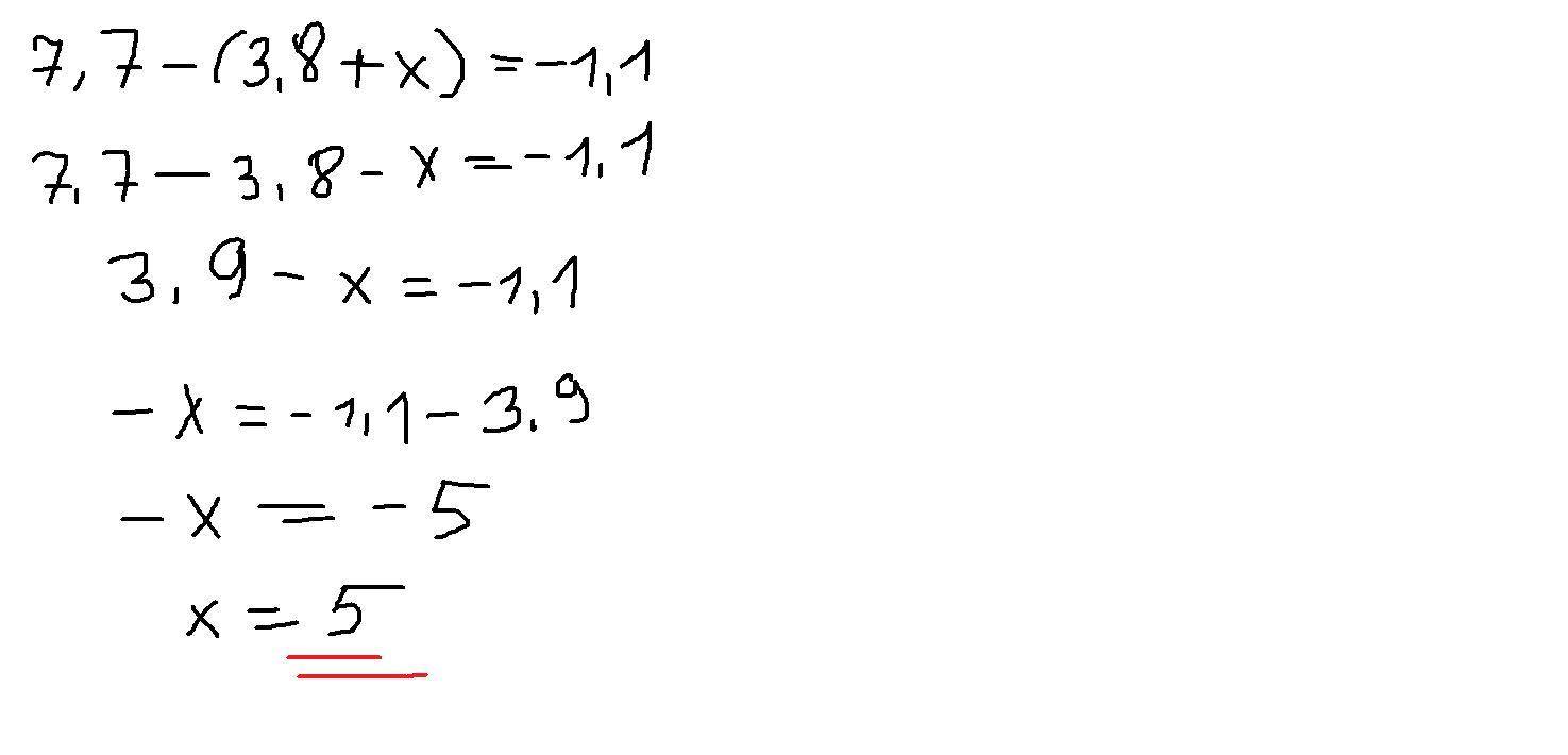
5
Пошаговое объяснение:
Решение в файле
Приложения:

Вас заинтересует
2 года назад
2 года назад
3 года назад
9 лет назад
9 лет назад