• Предмет: Математика
  • Автор: annochka050
  • Вопрос задан 8 лет назад

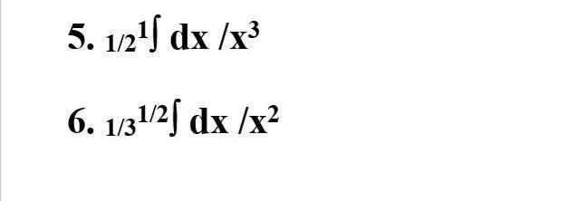
найти значение определенных интегралов
срочно нужно решение
помогите​

Приложения:

Ответа на этот вопрос пока нет. Попробуйте найти его через форму поиска.

Вас заинтересует