• Предмет: Алгебра
  • Автор: sofiaizmailova4084
  • Вопрос задан 2 года назад

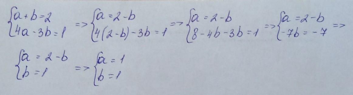
решите систему уравнений
a+b=2
4a-3b=1

Ответы

Ответ дал: blackmday12
8

Решение на фото...........

Приложения:
Ответ дал: frostikmr935277
3

Ответ: 1

Объяснение:

а= 2-b                                   a = 2 - 1 = 1

4*(2-b) - 3b = 1

8 - 4b - 3b = 1

8 - 7b = 1

-7b = 1-8

-7b = -7

b = 1

Вас заинтересует