• Предмет: Математика
  • Автор: dasha021704
  • Вопрос задан 8 лет назад

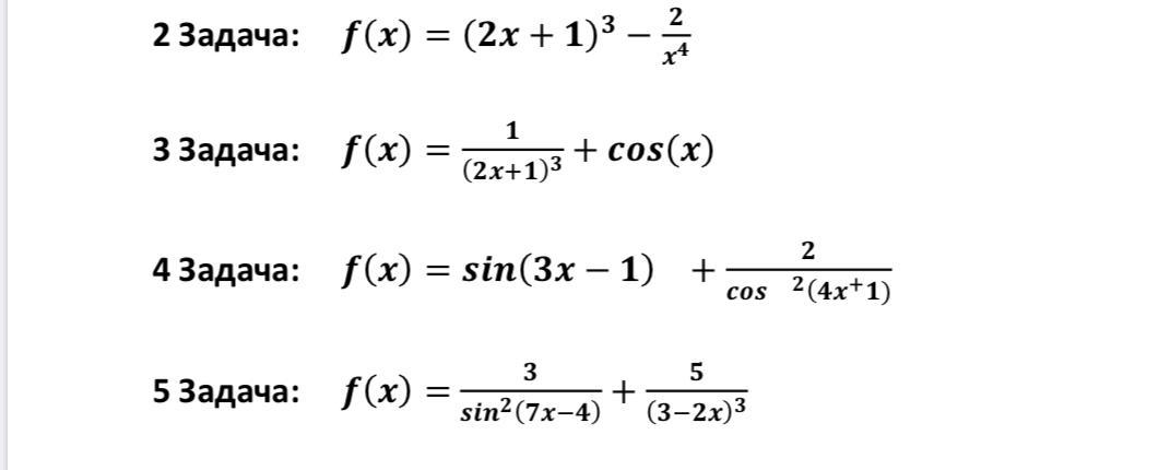
Помогите найти первообразную

Приложения:

Ответа на этот вопрос пока нет. Попробуйте найти его через форму поиска.

Вас заинтересует