• Предмет: Информатика
  • Автор: rozdeswee3131
  • Вопрос задан 8 лет назад

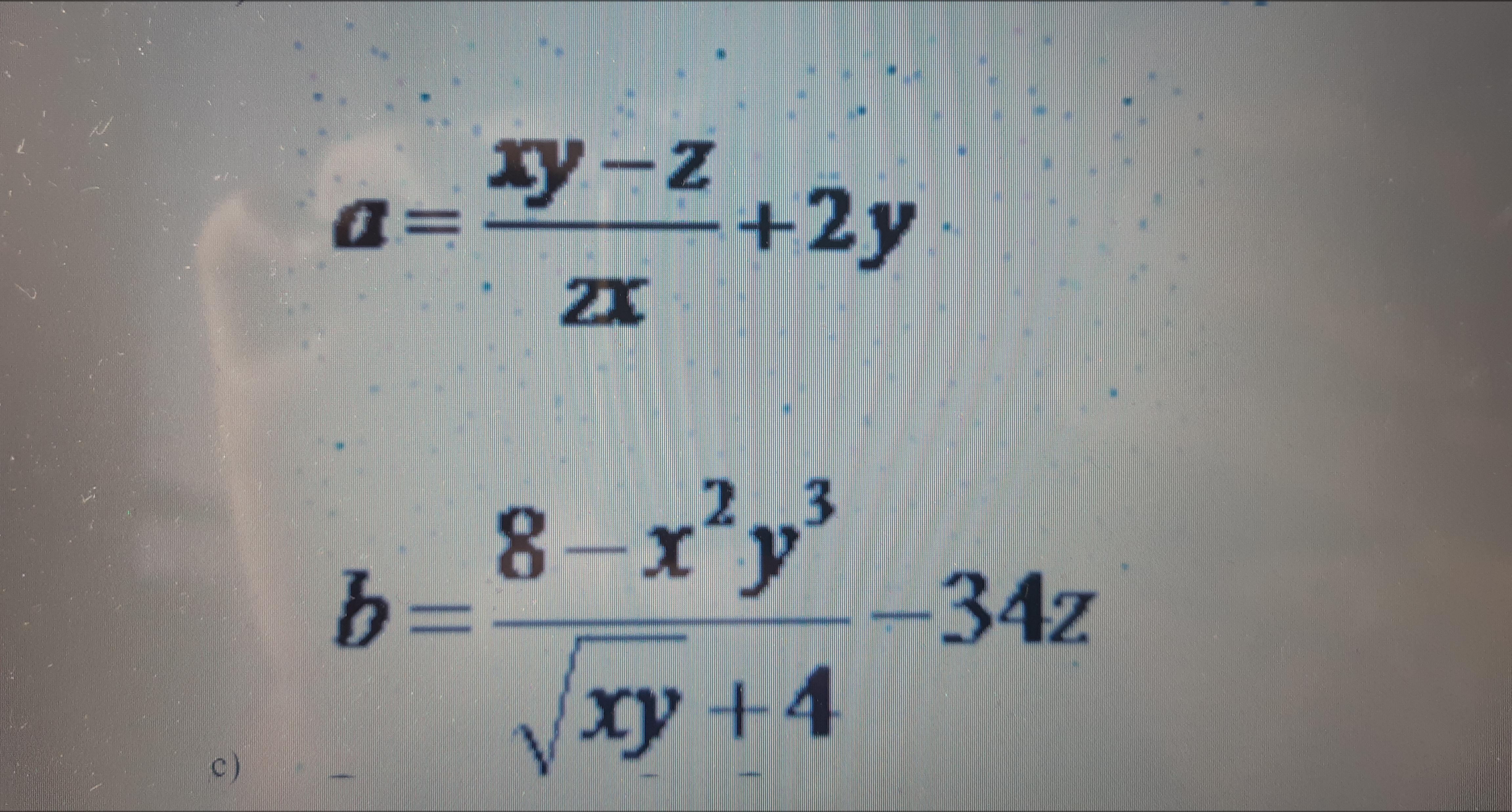
Составьте, пожалуйста, программы в Паскале. Для вычисления данных выражений

Приложения:

Ответа на этот вопрос пока нет. Попробуйте найти его через форму поиска.

Вас заинтересует