• Предмет: Математика
  • Автор: n3vajnoe
  • Вопрос задан 2 года назад

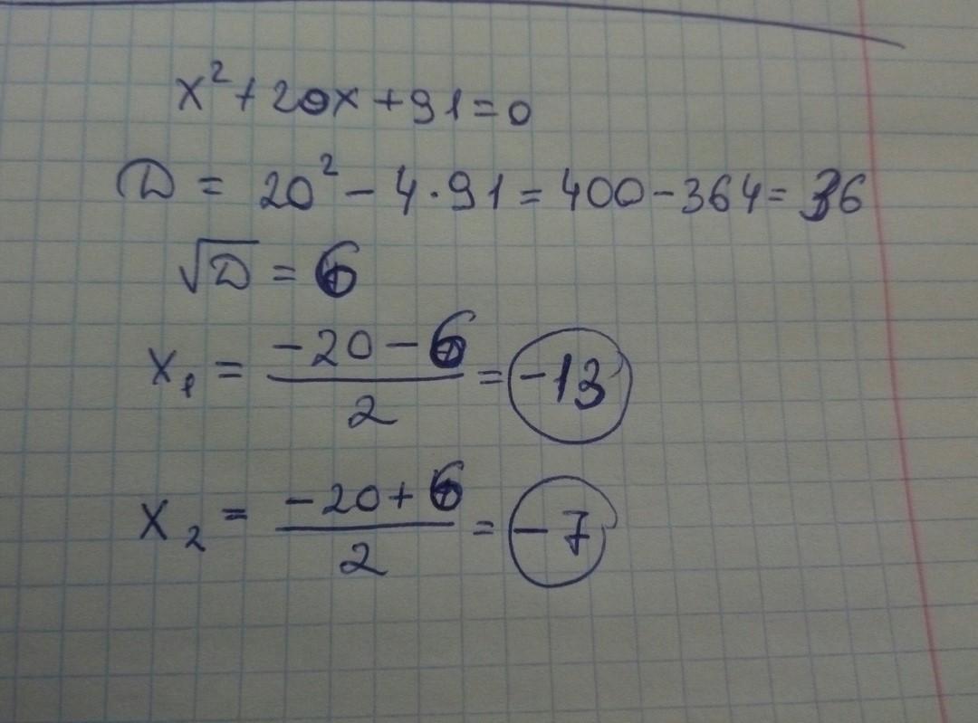
Решите через Неполное квадратное уравнение х2+20х+91=0

Ответы

Ответ дал: vkarinav
1

x1= -13

x2= -7

Ибо (-13*-7)=91

-13-7= -20(с противоположным)

Приложения:

n3vajnoe: А по дискриминату в начале
vkarinav: чичас
vkarinav: готово
n3vajnoe: Спасибо большое
Вас заинтересует