Ответы
Ответ дал:
1
Ответ:
четвёртый точна так же
Приложения:

Ответ дал:
0
Ответ:
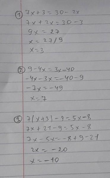
1) 7х+2х=30-3
9х=27
х=3
2) -4х-3х=-40-9
-7х=-49
х=7
3) 7х+21-9=5х-8
7х+12=5х-8
7х-5х=-8-12
2х=-20
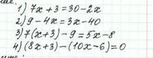
4) 8х+3-10х+6=0
-2х+9=0
-2х=-9
х=9/2
Пошаговое объяснение:
Вас заинтересует
1 год назад
1 год назад
1 год назад
1 год назад
3 года назад
3 года назад
8 лет назад