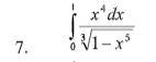
7. Вычислить определенный интеграл методом
непосредственного интегрирования
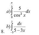
8. Вычислить определенный интеграл методом замены
переменной
Приложения:
Ответа на этот вопрос пока нет. Попробуйте найти его через форму поиска.
Вас заинтересует
2 года назад
2 года назад
3 года назад
3 года назад
9 лет назад
9 лет назад
10 лет назад