• Предмет: Алгебра
  • Автор: FlameSvxdd
  • Вопрос задан 2 года назад

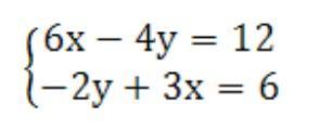
Выясните,сколько решений имеет система

Приложения:

Ответы

Ответ дал: KateIva1
0

Ответ:

1.  6x-4y=12

    x=2+2/3y

2. подставляем х в первое уравнение системы

   6(2+2/3y)-4y=12

    x=2+2/3y

3.   y=0

     x= 2+2/3*0=2

Объяснение:

Вас заинтересует