• Предмет: Математика
  • Автор: danisismagilov2016
  • Вопрос задан 8 лет назад

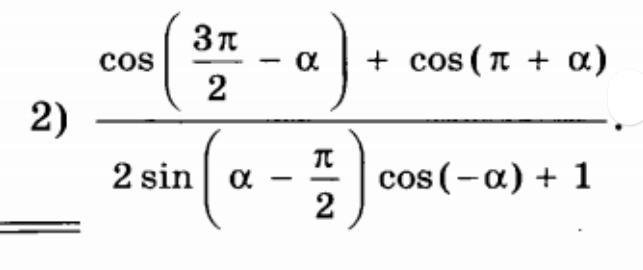
Упростить выражение.
Пожалуйста помогите

Приложения:

Ответа на этот вопрос пока нет. Попробуйте найти его через форму поиска.

Вас заинтересует