• Предмет: Алгебра
  • Автор: Ваня1564
  • Вопрос задан 8 лет назад

Помогите пожалуйста

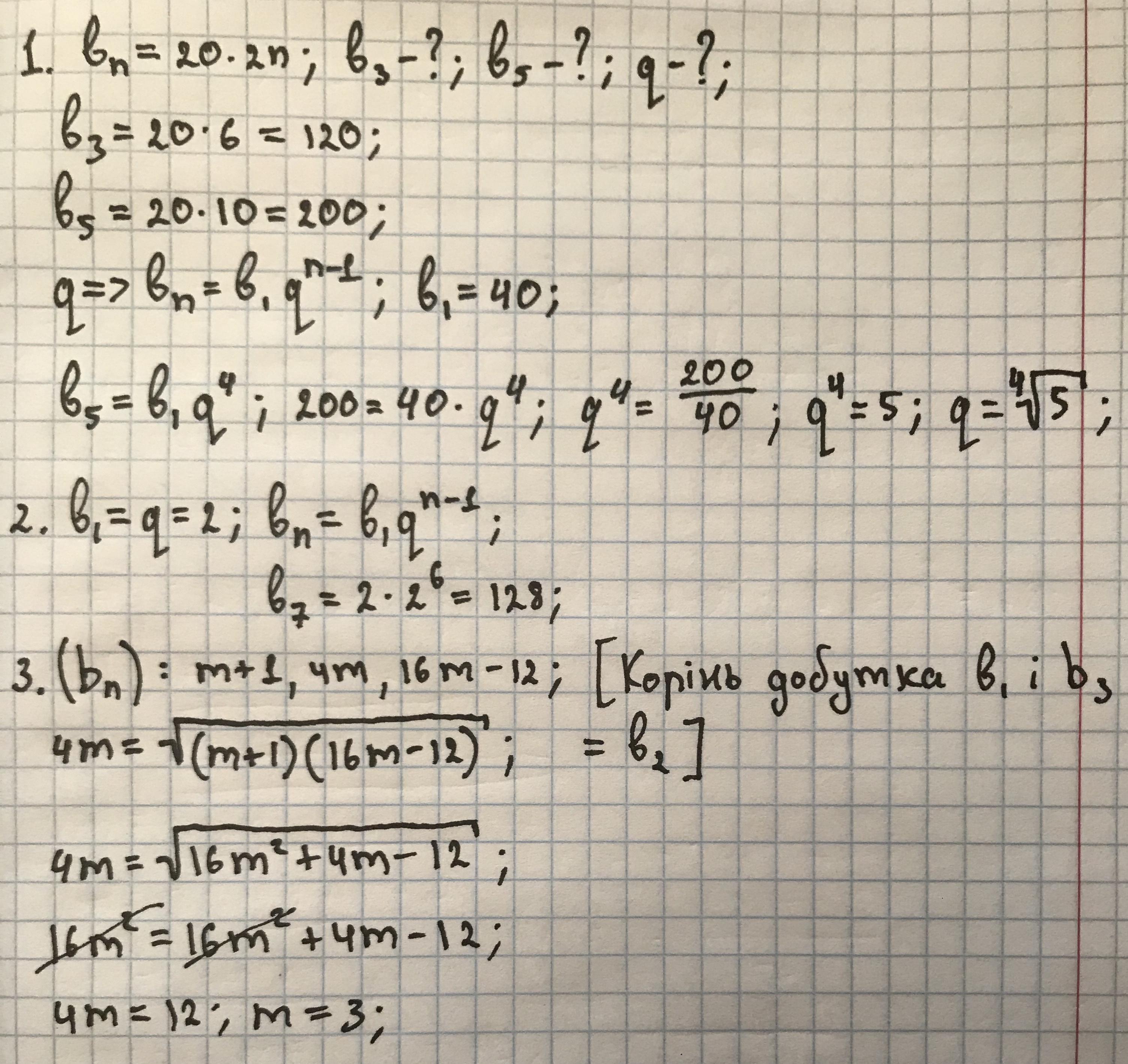
1. Дана геометрическая прогрессия bn=20∙2n. Найдите b3, g, b5.
2. В геометрической прогрессии b1= g=2. Найдите bn, b7.
3. Найдите значение m, при котором числа m+1, 4m, 16m-12, взятые в данном порядке, составляют геометрическую прогрессию.

Ответы

Ответ дал: wolodymyrsachko21
0

Ответ:

Всі розвязки на фото, можливо я не правильно зрозумів умову (не знаю що за g, тому припустив, що це знаменник прогресії).

Приложения:
Вас заинтересует