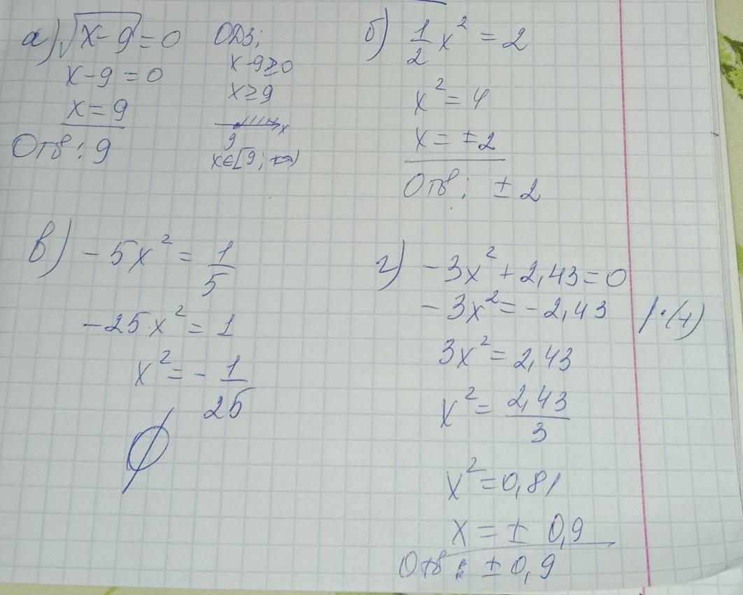
Решить уравнение:
А) корень Х - 9 = 0
Б) 1/2 х в квадрате =2
В) -5х в квадрате = 1/5
Г) -3х в квадрате + 2,43=0
Ответы
Ответ дал:
0
Ответ:
ответ и решение на фото
Приложения:

Вас заинтересует
2 года назад
3 года назад
3 года назад
8 лет назад
8 лет назад
9 лет назад
9 лет назад