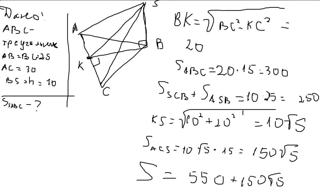
Основанием пирамиды SABC является треугольник АВС , у которого ВС=ВА=25. СА=30. Ребро BS перпендикулярно основанию и равно 10. Найдите площадь поверхности пирамиды.
Ответы
Ответ дал:
1
Ответ:
С потом и кровью я решил для вас эту задачу :)
Приложения:

Вас заинтересует
1 год назад
1 год назад
1 год назад
3 года назад
8 лет назад