• Предмет: Алгебра
  • Автор: qwertyqwerty242424
  • Вопрос задан 2 года назад

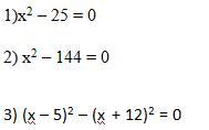
Решите уравнение;
с деталями

Приложения:

Ответы

Ответ дал: elena2147
1

Ответ:

х2-25=0

х2=0+25

х2=25

х1=5,х2=-5

Ответ:5;-5

х2-144=0

х2=144

х1=12,х2=-12

Ответ:12;-12

(х-5)2-(х+12)2=0

х2-10х+25-х2-24х-144=0

-34х-119=0

-34х=119

х=-3,5

Ответ: -3,5

Объяснение:

Вас заинтересует