• Предмет: Алгебра
  • Автор: dailynochka
  • Вопрос задан 8 лет назад

Решите уравнение
(x-5)^2-x(x+2)=1​

Ответы

Ответ дал: elinakhilko
0

Ответ:

x=2

Объяснение:

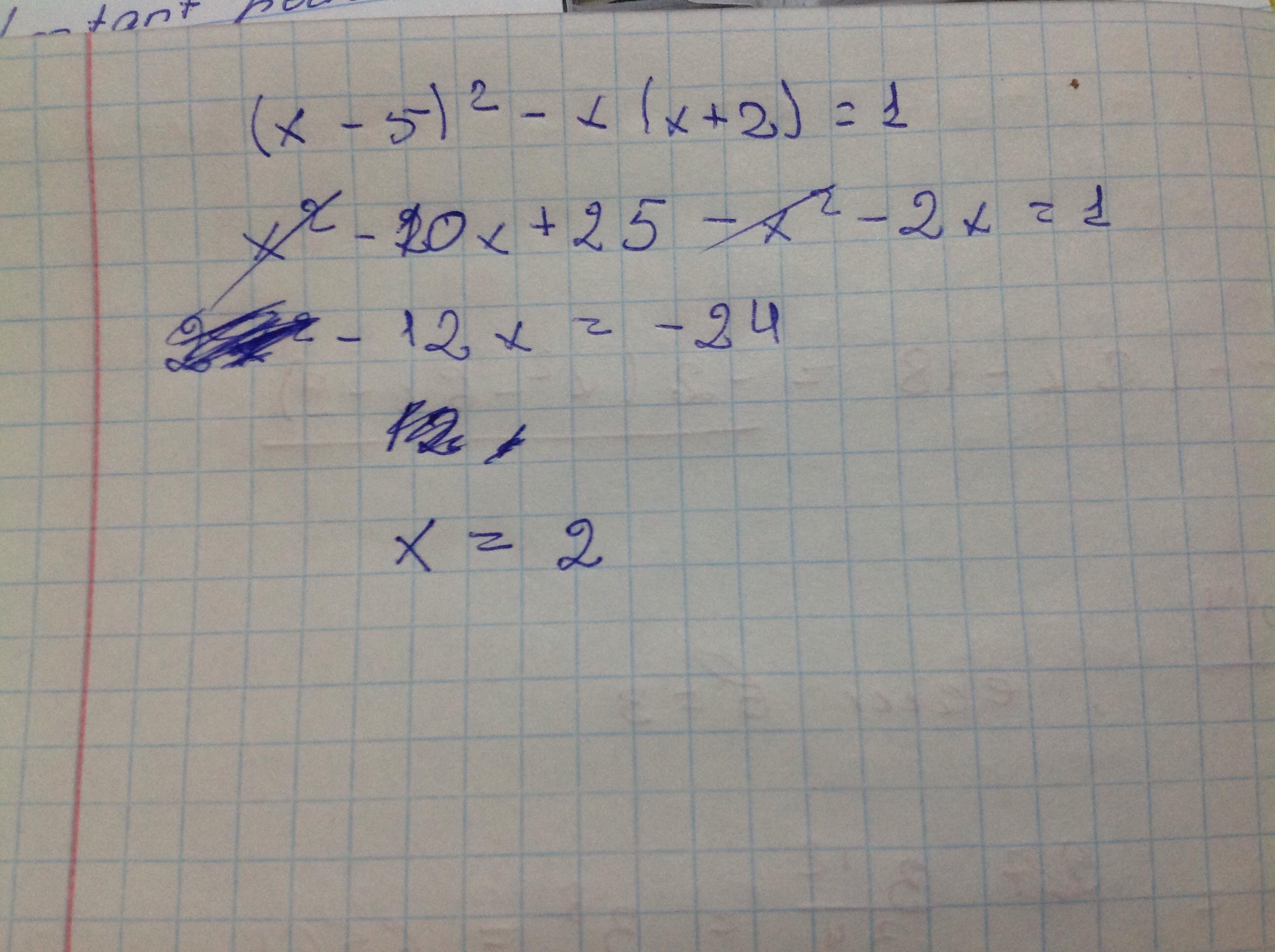
(x-5)^2-x(х+2)=1

х^2-10x+25-x^2-2x=1

-12x=-24

12x=24

x=2

Ответ дал: abdul80
0

Ответ:

вот так извините за грязь

Объяснение:

Приложения:
Вас заинтересует