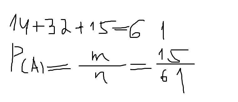
В коробке лежат гелевые ручки. 14 из них красные, 32 – синие и 15 – зеленые. Найдите вероятность того, что случайно вытащенная ручка окажется зеленой?
Ответы
Ответ дал:
0
Ответ:
Объяснение:
вот и все
Приложения:

Вас заинтересует
2 года назад
2 года назад
3 года назад
3 года назад
8 лет назад