Ответы
Ответ дал:
0
Ответ:
Пошаговое объяснение:
Ответ дал:
1
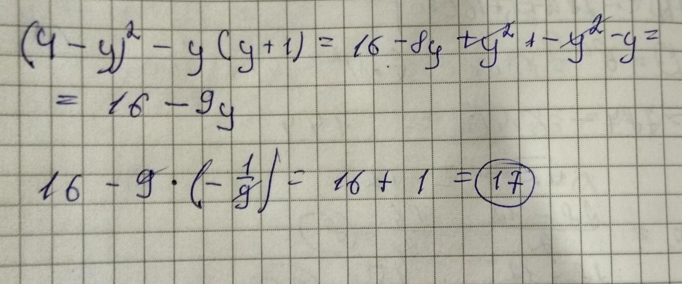
Ответ:
= 16 - 8y + y^2 - y^2 - y = 16 - 9×y;
16-9×(-1/9) = 16+1= 17
Приложения:

Вас заинтересует
1 год назад
1 год назад
1 год назад
3 года назад
3 года назад
8 лет назад