• Предмет: Математика
  • Автор: Tetraks
  • Вопрос задан 2 года назад

МАТЕМАТИКА СРОЧНО!!!

Приложения:

Ответы

Ответ дал: vladrov
2

Ответ:

Пошаговое объяснение:

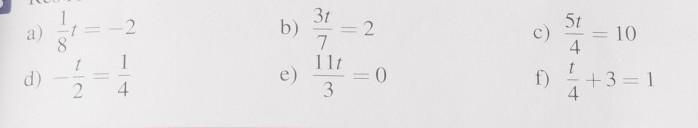
a) t= -2*8/1

t= -16

b)3t= 2*7

3t=14

t= 14/3

t=4  2/3

c) 5t=10*4

5t=40

t= 40/5

t=8

d) -t/2=1/4

-t=1/4*2

-t=1/2

t= -1/2

e) 11t=0

t=0

f) t/4=1-3

t= -2*4

t= -8

Вас заинтересует