Ответы
Ответ дал:
0
начальные данные
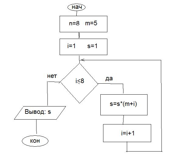
нач
m=5 n=8
S=1 i=1
для i=1 до n
нц s=s*(m+i)
кц
вывод s
кон
нач
m=5 n=8
S=1 i=1
для i=1 до n
нц s=s*(m+i)
кц
вывод s
кон
Приложения:

Вас заинтересует
2 года назад
2 года назад
8 лет назад
8 лет назад
10 лет назад
10 лет назад