• Предмет: Алгебра
  • Автор: almazbamuratov
  • Вопрос задан 2 года назад

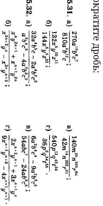
помогите пж алгебра по братски прошу дам 30 балов​

Приложения:

Ответы

Ответ дал: 1502evgesha
0

Ответ:

Ну первое это

3а(6) с(6)

--------------- дробь

9b(4)

в дужках это степь


Аноним: неправильно
1502evgesha: Правильно, только не до конца скорочено
Вас заинтересует